题目内容
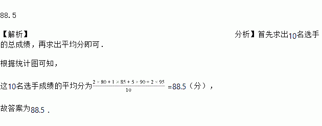
在学校演讲比赛中,10名选手的成绩统计图如图所示,则这10名选手成绩的平均分是____分.
请你观察、思考下列计算过程: 因为112=121,所以=11 ; 因为1112=12321,所以;……,由此猜想= ( )
A. 111111 B. 1111111 C. 11111111 D. 111111111
因式分解
(1)﹣2a3+12a2﹣18a (2)9a2(x﹣y)+4b2(y﹣x)
下列运算正确的是( )
A. a+a2=a3 B. (a2)3=a6 C. (x﹣y)2=x2﹣y2 D. a2a3=a6
化简:(1) (2)
如图,为测量一座山峰CF的高度,将此山的某侧山坡划分为AB和BC两段,每一段山坡近似是“直”的,测得坡长AB=800米,BC=200米,斜坡AB的坡度,仰角∠CBE=50°.则山峰的高度CF约为( )米.(可用的参考数据:sin50°≈0.8,tan50°≈1.2, )
A. 500 B. 518 C. 530 D. 580
下列调查中,调查方式选择正确的是( )
A. 为了了解全市中学生课外阅读情况,选择全面调查
B. 端午节期间,我市食品安全检查部门调查市场上粽子的质量情况,选择全面调查
C. 旅客上飞机前的安检,选择抽样调查
D. 为了了解《人民的名义》的收视率,选择抽样调查
反比例函数y=的图象经过点P(a,b),其中a,b是一元二次方程x2+kx+4=0的两根,那么点P的坐标是( )
A. (1,4) B. (-1,-4) C. (2,2) D. (-2,-2)
在平面直角坐标系中,已知点,,,其中,以点为顶点的平行四边形有三个,记第四个顶点分别为,如图所示.
(1)若,则点的坐标分别是( ),( ),( );
(2)是否存在点,使得点在同一条抛物线上?若存在,求出点的坐标;若不存在,说明理由.