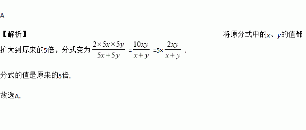
题目内容
若分式中的、的值同时扩大到原来的倍,则分式的值( ).
A. 是原来的倍 B. 不变 C. 是原来的 D. 是原来的倍
如图,△ODC是由△OAB绕点O 顺时针旋转31°后得到的图形,若点D 恰好落在AB上,且∠AOC 的度数为100°,则∠DOB的度数是______.
﹣5的相反数是( )
A. B. C. ﹣5 D. 5
计算:
()因式分【解析】 ;
()计算: ;
()解分式方程: .
是指大气中直径小于或等于的颗粒物,其中数字可以用科学记数法表示为__________.
若有意义,则的取值范围是( ).
A. B. C. D.
已知两个一次函数的图象相互平行,它们的部分自变量与相应的函数值如表:
x
m
0
2
4
3
t
6
n
则m的值是
A. B. C. D. 5
下列数值中不是不等式5x≥2x+9的解的是( )
A. 5 B. 4 C. 3 D. 2
点P在∠AOB的内部,点M,N分别是点P关于OA,OB所在直线的对称点,线段MN分别交OA,OB于点E,F,若△PEF的周长是20 cm,则线段MN的长是_________.