题目内容
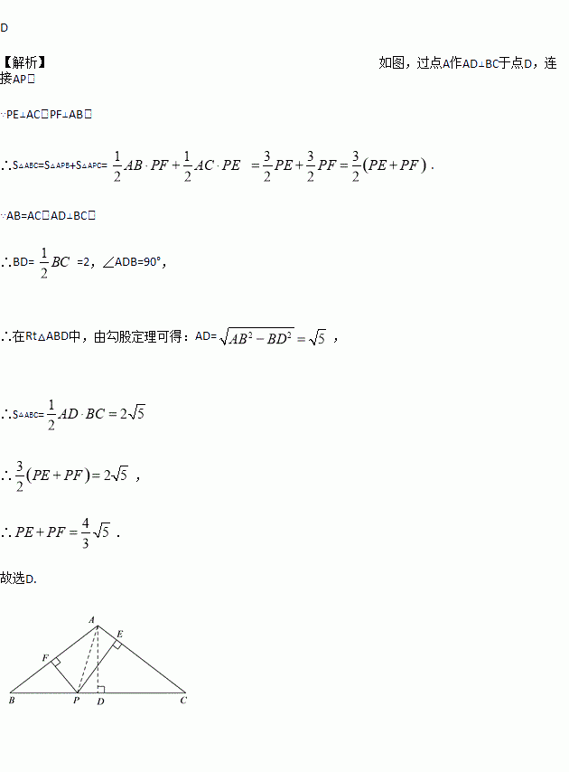
如图,等腰△ABC中,AB=AC=3,BC=4,P是BC上不与B和C重合的一个动点,过点P分别作AB和AC的垂线,垂足为E,F. 则PE+PF=( )
A. B. C. 6 D.
下列说法:①-2.5既是负数、分数,也是有理数;②-25既是负数,也是整数,但不是自然数;③0既不是正数,也不是负数;④0是非负数.其中正确的个数是( )
A. 1个 B. 2个 C. 3个 D. 4个
当ab>0时,y=与y=ax+b的图象大致是( ).
A.
B.
C.
D.
解方程时,我们可以将看成一个整体,设= ,则原方程可化为,解得.当=1时, =1,解得x=0,当=2时, =2,解得x=1,所以原方程的解为.
请利用这种方法解方程: .
如图,在正方形ABCD的外侧,作等边△ADE,则∠AEB=__________.
观察下列表格,一元二次方程的一个近似解是( )
1.4
1.5
1.6
1.7
1.8
1.9
0.56
0.75
0.96
1.19
1.44
1.71
A. 0.11 B. 1.19 C. 1.73 D. 1.67
有理数a、b在数轴上对应点的位置如图所示,化简|a+b|+|a|+|-b|-|1-b|.
若多项式是三次三项式,则m等于( )
A. -1 B. 0 C. 1 D. 2
若关于的分式方程的解为非负数,则的取值范围是__________.