题目内容
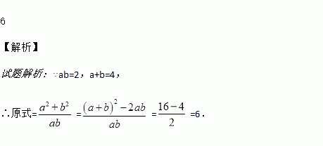
已知, , ,则式子__________.
如图,某同学画出了某轴对称图形的一半,请你以直线l为对称轴画出它的另一半.
在“抛掷正六面体”的试验中,如果正六面体的六个面分别标有数字“1”、“2”、“3”、“4”、“5”和“6”,如果试验的次数增多,出现数字“1”的频率的变化趋势是____
如图所示,AB∥CD∥EF,BC∥AD,AC平分∠BAD,则图中与∠AGE相等的角(不包括∠AGE本身)有( )
A. 3个 B. 4个 C. 5个 D. 6个
因式分解
().
如图,在图中作出边上的高.
下面所给的图形中,不是轴对称图形的是( ).
A. B. C. D.
如图,OP∥QR∥ST,则下列等式中正确的是( )
A、∠1+∠2-∠3=90° B、∠2+∠3-∠1=180°
C、∠1-∠2+∠3=180° D、∠1+∠2+∠3=180°
如图,在△ABC中,AB=6,AC=10,点D,E,F分别是AB,BC,AC的中点,则四边形ADEF的周长为( )
A. 8 B. 10 C. 12 D. 16