题目内容
在平面直角坐标系中,已知直线经过A(﹣3,7)、B(2,﹣3)两点。
(1)求经过A、B两点的一次函数关系式;
(2)画出该一次函数的图象.
(1)求经过A、B两点的一次函数关系式;
(2)画出该一次函数的图象.
解:
(1)设一次函数的表达式为y=kx+b,
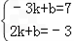
由题意,
得
,
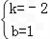
解得
。
∴一次函数的表达式为y=﹣2x+1。
(2)如上图,过A(﹣3,7)、B(2,﹣3)两点画直线,得到一次函数y=﹣2x+1的图象。

(1)设一次函数的表达式为y=kx+b,
由题意,
得
解得
∴一次函数的表达式为y=﹣2x+1。
(2)如上图,过A(﹣3,7)、B(2,﹣3)两点画直线,得到一次函数y=﹣2x+1的图象。
练习册系列答案
相关题目