题目内容
如图,将一张长方形纸条折叠,则∠1=_____度.
如图,AB∥CD,且AB=CD,则△ABE≌△CDE的根据是( )
A. 只能用ASA B. 只能用SAS C. 只能用AAS D. 用ASA或AAS
如图,边长为1的正方形ABCD,沿着数轴顺时针连续滚动.起点A和?2重合,则数轴上数2016所对应的字母是_______________.
-3的相反数是( )
A. 3 B. -3 C. D.
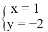
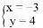
已知和是关于x,y的二元一次方程:ax+by=1的两个解,求 的值.
不等式﹣2x+3≥5的解集在数轴上表示为( )
A. B. C. D.
在创建“全国文明城市”和“省级文明城区”过程中,栾城区污水处理厂决定先购买A、B两型污水处理设备共20台,对城区周边污水进行处理.已知每台A型设备价格为12万元,每台B型设备价格为10万元;1台A型设备和2台B型设备每周可以处理污水640吨,2台A型设备和3台B型设备每周可以处理污水1080吨.
(1)求A、B两型污水处理设备每周分别可以处理污水多少吨?
(2)要想使污水处理厂购买设备的资金不超过230万元,但每周处理污水的量又不低于4500吨,请你列举出所有购买方案,并指出哪种方案所需资金最少?最少是多少?
计算(a+b)(﹣a+b)的结果是( )
A. b2﹣a2 B. a2﹣b2 C. ﹣a2﹣2ab+b2 D. ﹣a2+2ab+b2
如图,一透明的圆柱体玻璃杯,从内部测得底部直径为6cm,杯深8cm.今有一根长为16cm的吸管如图放入杯中,露在杯口外的长度为h,则h的变化范围是:_____.