题目内容
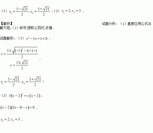
解下列方程:
(1)
(2)
关于x的方程ax2﹣3x+2=0是一元二次方程,则( )
A. a>0 B. a≥0 C. a≠0 D. a=1
今年春季我县大旱,导致大量农作物减产,下图是一对农民父子的对话内容,请根据对话内容分别求出该农户今年两块农田的产量分别是多少千克?
在平面直角坐标系中,点P(-3,4)位于( )
A. 第一象限 B. 第二象限 C. 第三象限 D. 第四象限
关于x的一元二次方程x2﹣(2m﹣1)x+m2+1=0。若方程有实数根,求实数m的取值范围。
若关于的方程有两个不相等的实数根,则的取值范围是( )
A. B. 且 C. D. 且
若关于的一元二次方程有两个不等的实根,则的取值范围是_______________________
等腰三角形的周长为20cm,一边长为6cm,则底边长为______.
如图,∠BAC的平分线与BC的垂直平分线相交于点D,DE⊥AB,DF⊥AC,垂足分别为E、F,AB=6,AC=3,求BE的长.