题目内容
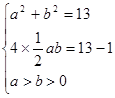
如图,大正方形面积13,小正方形面积为1,直角三角形的两直角边为a,b,求a+b= 。![]()
5
解析试题分析:根据正方形的面积与直角边的关系,列出关于a、b方程组,然后求解.
由题意得
,解得
,
∴
.
考点:正方形、直角三角形的面积公式
点评:解答该题的关键是根据图示找出大正方形、四个直角三角形、小正方形间的数量关系.
练习册系列答案
相关题目
题目内容
如图,大正方形面积13,小正方形面积为1,直角三角形的两直角边为a,b,求a+b= 。![]()
5
解析试题分析:根据正方形的面积与直角边的关系,列出关于a、b方程组,然后求解.
由题意得
,解得
,
∴
.
考点:正方形、直角三角形的面积公式
点评:解答该题的关键是根据图示找出大正方形、四个直角三角形、小正方形间的数量关系.