题目内容
化简题:
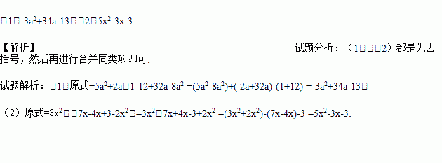
(1)(5a2+2a﹣1)-4(3﹣8a+2a2);(2)3x2﹣〔7x-(4x-3)-2x2〕
如图,一根长为30cm、宽为3 cm的长方形纸条,将它按图所示的过程折叠,为了美观,希望折叠完成后的纸条A端到点P的距离等于B端到点M的距离,则最初折叠时,MA的长应为__________cm.
的倒数是( )
A. B. C. D.
方程(m-1)x|m|+1-2x=3是关于x的一元二次方程,则有( )
A. m=1 B. m=-1 C. m=±1 D. m≠±1
若方程(m+2)=0是关于x的一元二次方程,则( )
A. m=2 B. m=-2 C. m=±2 D. m≠2
若a、b 互为相反数,c、d 互为倒数,则代数式(a+b)2 +cd-2的值为________
单项式xm﹣1y3与4xyn的和是单项式,则nm 的值是( )
A. 3 B. 6 C. 8 D. 9
如图,一段抛物线:y=﹣x(x﹣2)(0≤x≤2)记为C1,它与x轴交于两点O,A1;将C1绕A1旋转180°得到C2,交x轴于A2;将C2绕A2旋转180°得到C3,交x轴于A3;…如此进行下去,得到Cn,若点P(2017,m)在抛物线Cn上,则m为( )
A. 1 B. ﹣1 C. 2 D. ﹣2
下列各式中计算结果为9的是( )
A. (﹣2)+(﹣7) B. ﹣32 C. (﹣3)2 D. 3×3﹣1