题目内容
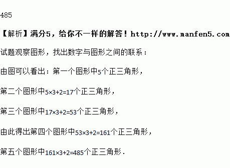
下列图形是将等边三角形按一定规律排列,则第个图形中所以等边三角形的个数是__________.
如图,已知点A(2,3)和点B(0,2),点A在反比例函数y=的图象上,作射线AB,交反比例函数图象于另一点M,再将射线AB绕点A按逆时针方向旋转45°,交反比例函数图象于点C,则CM的长度为( )
A. 5 B. 6 C. 4 D. 5
化简:
(1);
(2).
已知,,为互不相同的有理数,满足,则符合条件的,,的组数共有( )
A. 0组 B. 1组 C. 2组 D. 4组
阅读下列两则材料:
材料一:我们可以将任意三位数记为(其中a,b,c分别表示该数百位数字、十位数字和个位数字,且a≠0),显然=100a+10b+c.
材料二:若一个三位数的百位数字、十位数字和个位数字均不为0,则称之为原始数,比如123就是一个原始数,将原始数的三个数位上的数字交换顺序,可产生出5个原始数,比如由123可以产生出132,213,231,312,321这5个原始数.将这6个数相加,得到的和1332称为由原始数123生成的终止数.利用材料解决下列问题:
(1)分别求出由下列两个原始数生成的终止数:243,537;
(2)若一个原始数的终止数是另一个原始数的终止数的3倍,分别求出所有满足条件的这两个原始数.
一个多边形的每一个外角都等于30°,则该多边形的内角和等于__________.
数学活动课上,老师在黑板上画直线平行于射线AN(如图),让同学们在直线l和射线AN上各找一点B和C,使得以A、B、C为顶点的三角形是等腰直角三角形.这样的三角形最多能画( )个.
A. 1 B. 2 C. 3 D. 4
当x=-4时,二次根式的值为________.
从n边形的一个顶点作对角线,把这个n边形分成三角形的个数是( )
A. n B. n-1
C. n-2 D. n-3