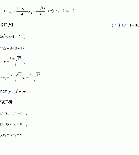
题目内容
(本题满分8分)解下列一元二次方程:
(1)(用公式法解) (2)
函数中,自变量的取值范围是___________.
(1)计算:
(2)计算:
若直角三角形中,斜边的长为13,一条直角边长为5,则这个三角形的面积是( )
A. 20 B. 30 C. 40 D. 60
(本题满分10分)已知关于x的一元二次方程(x-3)(x-4)=a²
(1)求证:对于任意实数a,方程总有两个不相等的实数根;
(2)若方程有一个根是1,求a的值及方程的另一个根.
反比例函数的图像经过第一、三象限,则k的取值范围是_____..
如图,在平面直角坐标系中,□ABCD的顶点B、C在x轴上,A、D两点分别在反比例函数(k<0,x<0)与(x>0)的图像上,若□ABCD的面积为4,则k的值为( )
A. -1 B. -2 C. -3 D. -5
如图,已知半圆的直径AB=3cm,P是AB上的 点,则AP·PB的最大值=_______ .
下列各式正确的是
A. a2·a3=a6 B. a3÷a2=a C. (a3)2=a5 D. a2+a2=2a4