题目内容
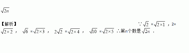
观察分析下列数据,按规律填空: ,2, ,2 , ,…,___(第n个数).
把方程﹣0.5=的分母化为整数,正确的是( )
A. ﹣0.5= B. ﹣0.5=
C. ﹣0.5= D. ﹣0.5=
如图,矩形ABCD的对角线AC=10,BC=8,则图中五个小矩形的周长之和为( )
A. 14 B. 16 C. 20 D. 28
如图,△ABC中,AB=AC=18,BC=12,正方形DEFG的顶点E,F在△ABC内,顶点D,G分别在AB,AC上,AD=AG,DG=6,则点F到BC的距离为.
A. 1 B. 2 C. D.
如图,矩形ABCD的对角线相交于点O,DE∥AC,CE∥BD.求证:四边形OCED是菱形.
“激情盛会,和谐亚洲”第16届亚运会将于2010年11月在广州举行,广州亚运城的建筑面积约是358 000平方米,将358 000用科学记数法表示为______.
抛物线y=﹣x2+bx+c的部分图象如图所示,要使y>0,则x的取值范围是( )
A. ﹣4<x<1 B. ﹣3<x<1 C. x<﹣4或x>1 D. x<﹣3或x>1
如图,AB是⊙O的直径,点C是⊙O上的一点,若BC=6,AB=10,OD⊥BC于点D,则OD的长为______.
抛掷一枚各面分别标有1,2,3,4,5,6的普通骰子,写出这个实验中的一个可能事件: 。