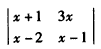
题目内容
对于任何实数,我们规定符号
的意义是
= ad-bc,按照这个规定请你计算:当x2-3x+1=0时,
的值。
解:
=(x+1)(x-1)-3x(x-2)
=x2-1-3x2+6x
=-2x2+6x-1,
∵x2-3x+1=0,
∴x2-3x=-1,
∴原式=-2(x2 -3x)-1=2-1=1。
=x2-1-3x2+6x
=-2x2+6x-1,
∵x2-3x+1=0,
∴x2-3x=-1,
∴原式=-2(x2 -3x)-1=2-1=1。
练习册系列答案
相关题目