搜索
题目内容
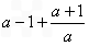
先化简,再求值:
,其中
.
试题答案
相关练习册答案
解:原式
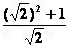
当
时,原式=
练习册系列答案
金点考单元同步检测系列答案
素质目标检测系列答案
每课100分系列答案
智慧学习导学练系列答案
学科王同步课时练习系列答案
三维导学案系列答案
单元双测试卷系列答案
活页练习西安出版社系列答案
作业课课清系列答案
轻松15分达标作业系列答案
相关题目
对于试题:“先化简,再求值:
,其x=2”某同学写出了如下解答:
她的解答正确吗?如不正确,请你写出正确解答.
解:
=
=x-3-(x+1)
=x-3+x+1
=2x-2;
当x=2时,原式=2×2-2=2.
有一道题:“先化简,再求值:
,其中
小张同学做题时把“
”错写成了“
”,但他的计算结果也是正确的,请你解释这是怎么回事?
(2006•邵阳)对于试题:“先化简,再求值:
,其x=2”某同学写出了如下解答:
她的解答正确吗?如不正确,请你写出正确解答.
解:
=
=x-3-(x+1)
=x-3+x+1
=2x-2;
当x=2时,原式=2×2-2=2.
(2006•邵阳)对于试题:“先化简,再求值:
,其x=2”某同学写出了如下解答:
她的解答正确吗?如不正确,请你写出正确解答.
解:
=
=x-3-(x+1)
=x-3+x+1
=2x-2;
当x=2时,原式=2×2-2=2.
对于试题:“先化简,再求值:
,其x=2”某同学写出了如下解答:
解:
=
=x-3-(x+1)
=x-3+x+1
=2x-2
当x=2时,原式=2×2-2=2
她的解答正确吗?如不正确,请你写出正确解答。
关 闭
试题分类
高中
数学
英语
物理
化学
生物
地理
初中
数学
英语
物理
化学
生物
地理
小学
数学
英语
其他
阅读理解答案
已回答习题
未回答习题
题目汇总
试卷汇总
练习册解析答案