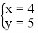
题目内容
一个不透明的口袋里有张形状完全相同的卡片,分别写有数字![]()
,![]()
,![]()
,![]()
,口袋外有两张卡片,分别写有数字![]()
,![]()
,现随机从口袋里取出一张卡片,则两次摸出的卡片的数字之和等于![]()
的概率( )![]()
A.
B.
C.
D. ![]()
练习册系列答案
相关题目
题目内容
一个不透明的口袋里有张形状完全相同的卡片,分别写有数字![]()
,![]()
,![]()
,![]()
,口袋外有两张卡片,分别写有数字![]()
,![]()
,现随机从口袋里取出一张卡片,则两次摸出的卡片的数字之和等于![]()
的概率( )![]()
A.
B.
C.
D. ![]()