题目内容
因式分【解析】
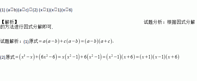
(1)a2-ab+ac-bc;
(2)x3+6x2-x-6.
当与的和为时, 的值为( )
A. -5 B. 5 C. D. 无解
阅读理【解析】如图①,在四边形ABCD的边AB上任取一点E(点E不与A、B重合),分别连接ED、EC,可以把四边形ABCD分成三个三角形,如果其中有两个三角形相似,我们就把E叫做四边形ABCD的边AB上的“相似点”;如果这三个三角形都相似,我们就把E叫做四边形ABCD的边AB上的“强相似点”.解决问题:
(1)如图①,∠A=∠B=∠DEC=45°,试判断点E是否是四边形ABCD的边AB上的相似点,并说明理由;
(2)如图②,在矩形ABCD中,A、B、C、D四点均在正方形网格(网格中每个小正方形的边长为1)的格点(即每个小正方形的顶点)上,试在图②中画出矩形ABCD的边AB上的强相似点;
(3)如图③,将矩形ABCD沿CM折叠,使点D落在AB边上的点E处,若点E恰好是四边形ABCM的边AB上的一个强相似点,试探究AB与BC的数量关系.
如图,AB 是圆O的直径,B C,CD,DA是圆O的弦,且BC=CD=DA,则∠BCD等于 ( )
A.100° B.110° C.120° D.135°
二次函数y=﹣2(x﹣1)2+3的图象的顶点坐标是( )
A. (1,3) B. (﹣1,3) C. (1,﹣3) D. (﹣1,﹣3)
把下列各式因式分【解析】
(1)16x2-25y2;
(2)x2-4xy+4y2;
(3)(a+2b)2-(2a-b)2;
(4)(m2+4m)2+8(m2+4m)+16;
(5)81x4-y4.
在四边形ABCD中,∠D=60°,∠B比∠A大20°,∠C是∠A的2倍,求∠A,∠B,∠C的大小.
若代数式x﹣y的值为4,则代数式2x﹣3﹣2y的值是_____.
一次函数图象经过(﹣2,1)和(1,4)两点,
(1)求这个一次函数的解析式;
(2)当x=3时,求y的值.