搜索
题目内容
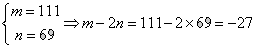
若单项式
与
的和与差仍是单项式,求m-2n的值。
试题答案
相关练习册答案
解:
练习册系列答案
必备好卷系列答案
新中考系列答案
新中考先锋系列答案
冲刺全真模拟试题经典10套题系列答案
中考1对1全程精讲导练系列答案
中考备考全攻略系列答案
中考一卷通系列答案
指南针神州中考系列答案
中考冲刺系列答案
中考特训营真题分类集训系列答案
相关题目
若单项式式123x
234-3n
y
456+m
与678x
7n-456
y
123-2m
的和与差仍是单项式,求m-2n的值.
关 闭
试题分类
高中
数学
英语
物理
化学
生物
地理
初中
数学
英语
物理
化学
生物
地理
小学
数学
英语
其他
阅读理解答案
已回答习题
未回答习题
题目汇总
试卷汇总
练习册解析答案