题目内容
从下列不等式中选择一个与x+1≥2组成不等式组,若要使该不等式组的解集为x≥1,则可以选择的不等式是( )
A. x>0 B. x>2 C. x<0 D. x<2
如图,⊙O的半径OD⊥弦AB于点C,连结AO并延长交⊙O于点E,连结EC.若AB=8,CD=2,则sin∠ECB为( )
A. B. C. D.
已知a2+3a=1,则代数式2a2+6a-1的值为( )
A. 0 B. 1 C. 2 D. 3
若不等式组的解集是-1<x<2,则________ .
某种商品的进价为1200元,标价为1575元,后来由于该商品积压,商店准备打折出售,但要保持利润不低于5%,则至多可打( )
A. 6折
B. 7折
C. 8折
D. 9折
2a与3a的大小关系( )
A. 2a<3a B. 2a>3a C. 2a=3a D. 不能确定
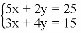
解方程组:.
25的算术平方根是( )
A. 5 B. ±5 C. ± D.
如图,将一块正方形空地划出部分区域进行绿化,原空地一边减少了2m,另一边减少了3m,剩余一块面积为20m2的矩形空地,则原正方形空地的边长是( )
A. 7m
B. 8m
C. 9m
D. 10m