题目内容
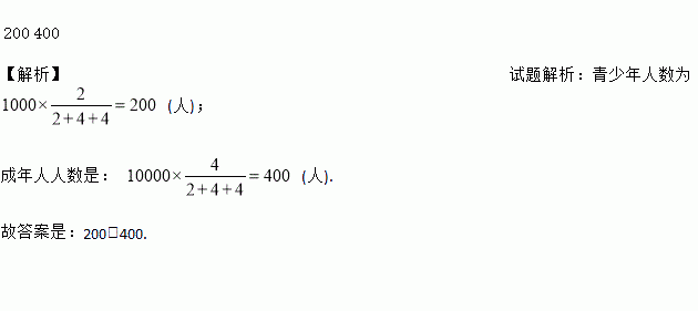
如果某地青少年、成年人、老年人的人口比为2:4:4.现要抽取一个样本容量为1000的样本,青少年人数为__人,成年人人数为__人.
一本英语书共98页,张力读了一周(7天)还没读完,而李永不到一周就已读完,李永平均每天比张力多读3页,张力平均每天读多少页?(答案取整数)
已知二次函数y=x2-4ax+4a2+a-1(a为常数),当a取不同的值时,其图象构成一个“抛物线系”.如图分别是当a=t1,a=t2,a=t3,a=t4时二次函数的图象,它们的顶点在一条直线上,则这条直线的表达式是________________.
下面的函数是二次函数的是( )
A. y=3x+1 B. y=x2+2x C. y= D. y=
某校报名参加甲、乙、丙、丁四个兴趣小组的学生人数如图所示,那么报名参加甲组和丙组的人数之和占所有报名人数的百分比为__.
一个班有40名学生,在期末体育考核中,优秀的有18人,在扇形统计图中,代表体育优秀扇形的圆心角是( )
A. 144° B. 162° C. 216° D. 250°
李娟同学为考察学校的用水情况,她在4 月份一周内同一时刻连续记录了水表的示数,记录结果如下表:
李娟估计学校4月份的用水量是多少吨?
政府为了更好地加强城市建设,就社会热点问题广泛征求市民意见,调查方式是发调查表,要求每位被调查人员只写一个你最关心的有关城市建设的问题,经统计整理,发现对环境保护问题提出的最多,有700人,同时作出相应的条形统计图,如图所示,请回答下列问题.
(1)共收回调查表 张;
(2)提道路交通问题的有 人;
(3)请你把这个条形统计图用扇形统计图表示出来.
若tan(α+10°)=1,则锐角α的度数是( )
A. 20° B. 30° C. 40° D. 50°