题目内容

【题目】关于x的一元二次方程x2+2x﹣2m+1=0的两实数根之积为负,则实数m的取值范围是

【答案】m>
【解析】解:设x1、x2为方程x2+2x﹣2m+1=0的两个实数根,
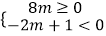
由已知得: ,即
解得:m>
所以答案是:m>
【考点精析】掌握求根公式和根与系数的关系是解答本题的根本,需要知道根的判别式△=b2-4ac,这里可以分为3种情况:1、当△>0时,一元二次方程有2个不相等的实数根2、当△=0时,一元二次方程有2个相同的实数根3、当△<0时,一元二次方程没有实数根;一元二次方程ax2+bx+c=0(a≠0)的根由方程的系数a、b、c而定;两根之和等于方程的一次项系数除以二次项系数所得的商的相反数;两根之积等于常数项除以二次项系数所得的商.

练习册系列答案
相关题目

违法和不良信息举报电话:027-86699610 举报邮箱:58377363@163.com

精英家教网