题目内容
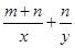
一项工程,甲队单独干需天完成,乙队单独干需天完成,现在先由甲队干天,然后乙队再加入,合干天后,完成的工作量是_____.
解析
用分式表示:
一项工程,甲队单独干需x天完成,乙队单独干需y天完成,现在先由甲队干m天,然后乙队再加入,合干n天后,完成的工作量是________.