题目内容
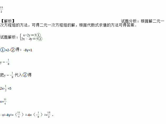
已知x、y是二元一次方程组的解,则代数式的值为 .
2014年世界杯足球赛在巴西举行,小李在网上预定了小组赛和淘汰赛两个阶段的球票共10张,总价为5800元,其中小组赛球票每张550元,淘汰赛球票每张700元,问小李预定了小组赛和淘汰赛的球票各多少张?
为了解八年级学生体育测试项目男女长跑的成绩,体育老师从八年级的学生中随机抽取了部分学生进行测试,并根据测试收集的数据绘制了如下两幅不完整的统计图.根据上述信息,解答下列问题:
(1)本次随机抽取的学生人数为 人;
(2)将条形统计图补充完整,并求出扇形统计图中成绩为6分所对应的扇形的圆心角的度数;
(3)体育成绩在6.5分以上为合格,试估算八年级1600名学生中有多少名学生的体育成绩合格.
三条线段的长分别为下列四组数,则这三条线段收尾顺次相接能够围成直角三角形的是( )
A. 0.1,0.2,0.3 B. 11.12.13 C. 0.3,0.4,0.5 D. 13,14,15
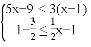
解不等式组,并写出它的整数解.
分解因式:x2–4x+4=__________.
下列命题中,是真命题的为( )
A. 如果a>b,那么|a|>|b| B. 一个角的补角大于这个角
C. 平方后等于4的数是2 D. 直角三角形的两个锐角互余
如图,正方形ABCD的点A和点C的坐标分别为(-2,3)和(3,-2),则点B和点D的坐标分别为( )
A. (2,2)和(3,3) B. (-2,-2)和(3,3)
C. (-2,-2)和(-3,-3) D. (2,2)和(-3,-3)
如图,已知Rt△ABC中,∠C=90°,AC=8,BC=15,则tanA的值为( )
A. B. C. D.