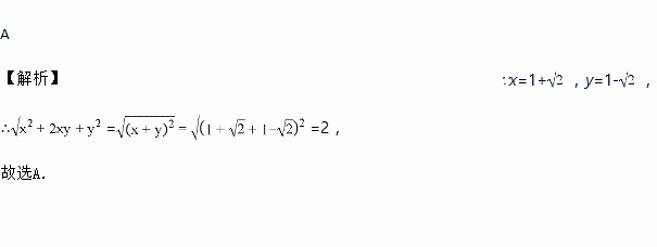
题目内容
已知x=1+,y=1-,则代数式的值为( )
A. 2 B. ±2 C. 4 D.
【问题学习】小芸在小组学习时问小娟这样一个问题:已知α为锐角,且sin α=,求sin 2α的值.
小娟是这样给小芸讲解的:
如图①,在⊙O中,AB是直径,点C在⊙O上,所以∠ACB=90°. 设∠BAC=α,则sin α==.易得∠BOC=2α.设BC=x,则AB=3x,AC=2 x.作CD⊥AB于D,求出CD=________(用含x的式子表示),可求得sin 2α==________.
【问题解决】已知,如图②,点M,N,P为⊙O上的三点,且∠P=β,sin β=,求sin 2β的值.
甲、乙两辆汽车分别从A、B两城同时沿高速公路驶向C城.已知A、C两城的路程为500千米,B、C两城的路程为450千米,甲车比乙车的速度快10千米/时,结果两辆车同时到达C城,求两车的速度.
|﹣2|的值是( )
A. ﹣2 B. 2 C. D. ﹣
如果最简二次根式2与是同类二次根式,那么x=______.
已知x=,求x6+x5+2x4-4x3+3x2+4x-4的整数部分.
已知实数x,y满足(x-)(y- )=2008,则3x2-2y2+3x-3y-2007的值为( )
A. -2008 B. 2008 C. -1 D. 1
如图,AD∥BC,EF∥BC,BD平分∠ABC,图中与∠ADO相等的角有_______ 个,分别是___________.因为AB∥CD,EF∥AB,根据_____________________________,所以_____________.
如图,AD∥EF∥BC,则图的相似三角形共有_____对.