题目内容
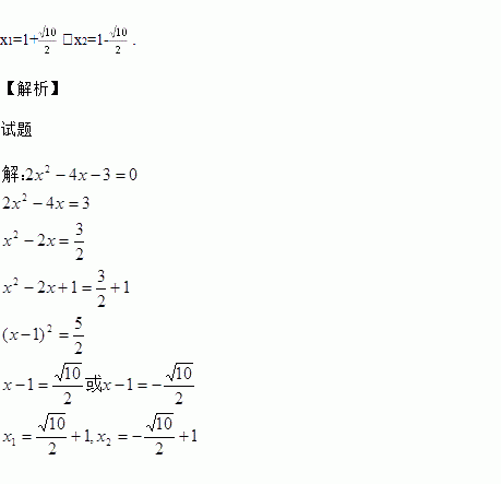
用配方法解方程2x2-4x-3=0.
为美化校园,学校决定将花园边墙上的矩形门ABCD改为以AC为直径的圆弧形门,如图所示,量得矩形门宽为1m,对角线AC的长为2m,则要打掉墙体的面积为_____m2.
解方程:
①
②(需用配方法解)
已知、是方程的两根,则的值为( )
A. B. C. D. 以上都不对
已知关于x的一元二次方程x2-4x+m=0.
(1)若方程有实数根,求实数m的取值范围;
(2)若方程两实数根为x1,x2,且满足5x1+2x2=2,求实数m的值.
已知方程(m-2)x|m|+x+1=0是一元二次方程,则m=_____.
若关于x的一元二次方程(k﹣1)x2﹣(2k+1)x+k=0有两个不相等的实数根,则k的取值范围是( )
A. B. 且k≠1 C. D. k≥且k≠0
二次函数的最小值为________.
(1)-3+8-11-15 (2)
(3) (4)
(5)0.125×(-7)×8 (6)