题目内容
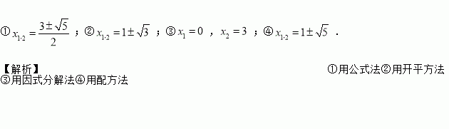
我们已经学习了一元二次方程的四种解法:因式分解法,开平方法,配方法和公式法.请从以下一元二次方程中任选一个,并选择你认为适当的方法解这个方程.
①;②;③;④.
某超市一月份的营业额为200万元,已知第一季度的总营业额共1000万元,如果平均每月增长率为x,则由题意列方程应为
A. B.
C. D.
小英同时掷甲、乙两枚质地均匀的小立方体(立方体的每个面上分别标有数字1,2,3,4,5,6).记甲立方体朝上一面的数字为x,乙立方体朝上一面的数字为y,这样就确定点P的一个坐标(x,y),那么点P落在正比例函数y=2x图象上的概率为( )
A. B. C. D.
如图,数轴上M,N,P,Q四点对应的数都是整数,且M为线段NQ的中点,P为线段NM的中点.若点M对应的整数是a,点N对应的整数是b,且b-2a=0,则数轴上的原点是( )
A. 点M B. 点N C. 点P D. 点Q
下列图形中,属于棱柱的是( )
关于x的方程mx2+x﹣m+1=0,有以下三个结论:①当m=0时,方程只有一个实数解;②当m≠0时,方程有两个不等的实数解;③无论m取何值,方程都有一个负数解,其中正确的是__(填序号).
用配方法解关于x的一元二次方程x2﹣2x﹣3=0,配方后的方程可以是( )
A. (x﹣1)2=4 B. (x+1)2=4 C. (x﹣1)2=16 D. (x+1)2=16
一元二次方程x2-8x=48可表示成(x-a)2=48+b的形式,其中a,b为整数,求a+b之值为何( )
A. 20 B. 12 C. -12 D. -20
如图,在数轴上点A表示的实数是_____________.