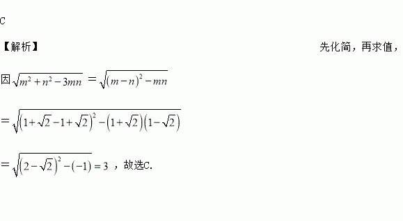
题目内容
已知m=1+,n=1-,则代数式的值为( )
A.9 B.±3
C.3 D.5
若式子是一个实数,则满足这个条件的有( ).
A. 0个 B. 1个 C. 4个 D. 无数
点P(﹣2,1)在平面直角坐标系中所在的象限是( )
A.第一象限 B.第二象限
C.第三象限 D.第四象限
观察下列等式及验证过程:
;;.
验证:;
;.
(1)请按照上述等式及验证过程的基本思想,猜想的变形结果及验证过程;
(2)针对上述各式反映的规律,写出用n表示的等式,并验证.(n为自然数)
已知=,则n的取值范围是___________.
下列计算正确的是( )
A. += B. ÷=2 C. ()-1= D. (-1)2=2
在正方形ABCD中,E为BC上一点,EF⊥AC,EG⊥BD,垂足分别为F、G,如果cm,那么EF+EG的长为______.
若与互为倒数,则( )
A. a=b-1 B. a=b+1 C. a+b=1 D. a+b=-1
如图,已知AB∥CD,BE⊥AD,垂足为点E,CF⊥AD,垂足为点F,并且AE=DF. 求证:四边形BECF是平行四边形.