题目内容
在Rt△ABC中,BC=9,CA=12,∠ABC的平分线BD交AC与点D,DE⊥DB交AB于点E.(1)设⊙O是△BDE的外接圆,求证:AC是⊙O的切线;
(2)设⊙O交BC于点F,连接EF,求
【答案】分析:(1)要证明AD为切线,就必须证明OD和AC垂直,即∠ODC=90°;
(2)求
的值,因为EF和AC平行,所以有△BEF∽△BAC,即只要求出
即可.
解答:
(1)证明:∵DE⊥DB,⊙O是Rt△BDE的外接圆
∴BE是⊙O的直径,点O是BE的中点,连接OD(1分)
∵∠C=90°
∴∠DBC+∠BDC=90°
又∵BD为∠ABC的平分线
∴∠ABD=∠DBC
∵OB=OD
∴∠ABD=∠ODB
∴∠ODB+∠BDC=90°
∴∠ODC=90°(4分)
又∵OD是⊙O的半径
∴AC是⊙O的切线(5分)
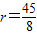
(2)解:设⊙O的半径为r,
在Rt△ABC中,AB2=BC2+CA2=92+122=225
∴AB=15(7分)
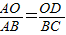
∵∠A=∠A,∠ADO=∠C=90°
∴△ADO∽△ACB.
∴
∴
∴
∴BE=2r=
,(10分)
又∵BE是⊙O的直径
∴∠BFE=90°
∴△BEF∽△BAC
∴
(12分)
点评:此题主要考查了三角形相似的判定,以及勾股定理的应用.
(2)求
解答:
∴BE是⊙O的直径,点O是BE的中点,连接OD(1分)
∵∠C=90°
∴∠DBC+∠BDC=90°
又∵BD为∠ABC的平分线
∴∠ABD=∠DBC
∵OB=OD
∴∠ABD=∠ODB
∴∠ODB+∠BDC=90°
∴∠ODC=90°(4分)
又∵OD是⊙O的半径
∴AC是⊙O的切线(5分)
(2)解:设⊙O的半径为r,
在Rt△ABC中,AB2=BC2+CA2=92+122=225
∴AB=15(7分)
∵∠A=∠A,∠ADO=∠C=90°
∴△ADO∽△ACB.
∴
∴
∴
∴BE=2r=
又∵BE是⊙O的直径
∴∠BFE=90°
∴△BEF∽△BAC
∴
点评:此题主要考查了三角形相似的判定,以及勾股定理的应用.
练习册系列答案
相关题目
在Rt△ABC中,已知a及∠A,则斜边应为( )
| A、asinA | ||
B、
| ||
| C、acosA | ||
D、
|
| A、9:4 | B、9:2 | C、3:4 | D、3:2 |