题目内容
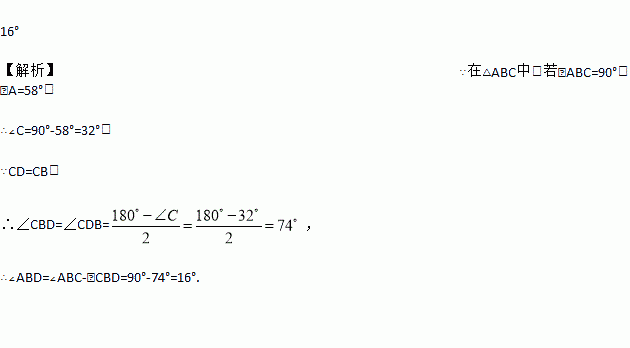
如图:在△ABC中,若∠ABC=90°,∠A=58°,又CD=CB,则∠ABD=____________.
![]()
练习册系列答案
相关题目
一粒木质中国象棋子“兵”,它的正面雕刻一个“兵”字,它的反面是平的.将它从一定高度下掷,落地反弹后可能是“兵”字面朝上,也可能是“兵”字面朝下.由于棋子的两面不均匀,为了估计“兵”字面朝上的概率,某实验小组做了棋子下掷实验,实验数据如下表:
实验次数 | 20 | 40 | 60 | 80 | 100 | 120 | 140 | 160 |
“兵”字面朝上频数 | 14 | a | 38 | 47 | 52 | 66 | 78 | 88 |
相应频率 | 0.7 | 0.45 | 0.63 | 0.59 | 0.52 | b | 0.56 | 0.55 |
(1)请直接写出a,b的值;
(2)如果实验继续进行下去,根据上表的数据,这个实验的频率将稳定在它的概率附近,请你估计这个概率是多少;
(3)如果做这种实验2 000次,那么“兵”字面朝上的次数大约是多少?
(1)a=18,b=0.55(2)估计概率的大小为0.55(3)“兵”字面朝上的次数大约是1100次 【解析】试题分析:(1)根据图中信息,用频数除以实验次数,得到频率,由于试验次数较多,可以用频率估计概率; (2)根据表中数据,试验频率为0.7,0.45,0.63,0.59,0.52,0.55,0.56,0.55稳定在0.55左右,即可估计概率的大小. (3)根据利用频率估计概率可以得...某商店需要购进一批电视机和洗衣机,根据市场调查,决定电视机进货量不少于洗衣机进货量的一半.电视机与洗衣机的进价和售价如下表:
类 别 | 电视机 | 洗衣机 |
进价(元/台) | 1 800 | 1 500 |
售价(元/台) | 2 000 | 1 600 |
计划购进电视机和洗衣机共 100 台,商店最多可筹集资金161 800 元.
(1)请你帮助商店算一算有多少种进货方案(不考虑除进价之外的其他费用);
(2)哪种进货方案待商店销售购进的电视机与洗衣机完毕后获得的利润最多?并求出最大的利润(利润=售价-进价).
(1)6(2) 购进电视机39台 【解析】(1)设购进电视x台,洗衣机就为(100-x)台,根据电视机的进价为1800元/台,洗衣机的进价为1500元/台,根据电视机进货量不少于洗衣机的进货量的一半,以及超市最多可筹集资金161800元可列不等式组求解. (2)设商店销售完毕后获利为 y 元,根据题意列出y与x的关系式,进行讨论 (1)设商店购进电视机 x 台,则购进洗衣机(10...