题目内容
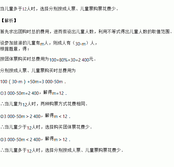
某景区售出的门票分为成人票和儿童票,成人票每张100元,儿童票每张50元,若干家庭结伴到该景区旅游,成人和儿童共30人,售票处规定:一次性购票数量达到30张,可购买团体票,每张票均按成人票价的八折出售,请你帮助他们选择花费最少的购票方式.
练习册系列答案
相关题目
题目内容
某景区售出的门票分为成人票和儿童票,成人票每张100元,儿童票每张50元,若干家庭结伴到该景区旅游,成人和儿童共30人,售票处规定:一次性购票数量达到30张,可购买团体票,每张票均按成人票价的八折出售,请你帮助他们选择花费最少的购票方式.