题目内容
已知ab<0,
【答案】分析:对已知等式整理得到
=
,从而得到b4+a4=3a2b2,又∵(
)2可以化简成为
,由此可以求出(
)2的值,又由ab<0可以确定
的值.
解答:解:对已知等式整理得
=
,
∴b2-a2=ab,
∴(b2-a2)2=a2b2,
∴b4+a4=3a2b2,
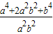
又∵(
)2=(
)2=
,
∴(
)2=
=5,
又∵ab<0,
∴
<0,
即
=-
.
故答案为-
.
点评:此题主要考查了分式的化简求值,利用整体代入法解答是解题的关键,对中等生比较困难.
解答:解:对已知等式整理得
∴b2-a2=ab,
∴(b2-a2)2=a2b2,
∴b4+a4=3a2b2,
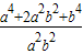
又∵(
∴(
又∵ab<0,
∴
即
故答案为-
点评:此题主要考查了分式的化简求值,利用整体代入法解答是解题的关键,对中等生比较困难.
练习册系列答案
相关题目
已知
=
=
=k,则直线y=kx-1与直线y=-x+k的交点在( )
| a |
| b |
| b |
| c |
| c |
| a |
| A、x轴上 | B、第二象限 |
| C、第三象限 | D、第四象限 |
| A、36 | B、42 | C、48 | D、56 |
已知
=
=
=
,则
=( )
| a |
| b |
| c |
| d |
| e |
| f |
| 1 |
| 2 |
| a-3c+2e |
| 2b-6d+4f |
A、
| ||
B、
| ||
C、
| ||
D、
|