题目内容
下列运算正确的是( )
A. (﹣2a3)2=﹣4a6 B. =±3 C. m2•m3=m6 D. x3+2x3=3x3
如图AB∥CD,AC⊥BC,图中与∠CAB互余的角有( )
A. 1个 B. 2个 C. 3个 D. 4个
若有意义,则m能取的最小整数值是( )
A. m=0 B. m=1 C. m=2 D. m=3
在△ABC和△A1B1C1中,下列四个命题:
(1)若AB=A1B1,AC=A1C1,∠A=∠A1,则△ABC≌△A1B1C1;
(2)若AB=A1B1,AC=A1C1,∠B=∠B1,则△ABC≌△A1B1C1;
(3)若∠A=∠A1,∠C=∠C1,则△ABC∽△A1B1C1;
(4)若AC:A1C1=CB:C1B1,∠C=∠C1,则△ABC∽△A1B1C1.
其中是真命题的为_____(填序号).
如图,△ABC内接于半径为5的⊙O,圆心O到弦BC的距离等于3,则∠A的正切值等于( )
A. B. C. D.
有如的8张纸条,用每4张拼成一个正方形图案,拼成的正方形的每一行和每一列中,同色的小正方形仅为2个,且使每个正方形图案都是轴对称图形,在网格中画出你拼出的图案(画出的两个图案不能全等).
如图,在3×3方格图中,在其中一个小方格的中心画上半径相等的圆,使整个图形为轴对称图形,方法有( )
A. 1种 B. 2种 C. 3种 D. 4种
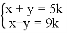
若关于x、y的二元一次方程组的解也是二元一次方程2x+3y=6的解,则k的值为______.
如图,不透明圆锥体DEC放在直线BP所在的水平面上,且BP过圆锥底面圆的圆心,圆锥的高为2 m,底面半径为2 m,某光源位于点A处,照射圆锥体在水平面上留下的影长BE=4 m.
(1)求∠ABC的度数;
(2)若∠ACP=2∠ABC,求光源A距水平面的高度.