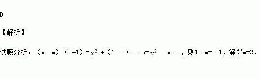
题目内容
若x2-x-m=(x-m)(x+1)且x≠0,则m等于( )
A.-1 B.0 C.1 D.2
(2015•广元)下列说法正确的是( )
A.为了解我国中学生的体能情况,应采用普查的方式
B.若甲队成绩的方差是2,乙队成绩的方差是3,说明甲队成绩比乙队成绩稳定
C.明天下雨的概率是99%,说明明天一定会下雨
D.一组数据4,6,7,6,7,8,9的中位数和众数都是6
(2015•钦州)在平面直角坐标系中,将点A(x,y)向左平移5个单位长度,再向上平移3个单位长度后与点B(﹣3,2)重合,则点A的坐标是( )
A.(2,5) B.(﹣8,5) C.(﹣8,﹣1) D.(2,﹣1)
若 | x | = 5,则x的值为 .
对于抛物线y=-(x+2)2+3,下列说法正确的个数是( )
①其图象开口向下;
②对称轴是x=2;
③可由y=﹣x2+3向右平移2个单位得到;
④当x>-2时,y随x增大而减小.
A、1个 B、2个 C、3个 D、4个
若-3<x<-2,化简+= .
已知1是关于的一元二次方程的一个根,那么 .
计算:
(1)
(2)
(2015•道外区二模)几个人共同种一种树苗,如果每人种10棵,则剩下6棵树苗未种,如果每人种12棵,则缺6棵树苗,参加种树的有 人.