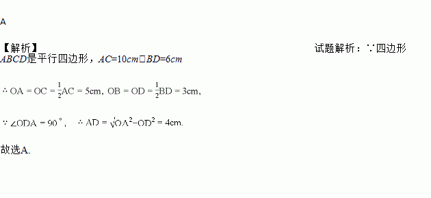
题目内容
如图,在平行四边形ABCD中,已知∠ODA=90°,AC=10cm,BD=6cm,则AD的长为( )
A. 4cm B. 5cm C. 6cm D. 8cm
-27的立方根是( )
A. 3 B. -3 C. 9 D. -9
在平面直角坐标系中,已知点A(0,2),B(﹣2,0),C(0,﹣2),D(2,0),则以这四个点为顶点的四边形ABCD是( )
A. 矩形 B. 菱形 C. 正方形 D. 梯形
如图,△ABC中,AB=AC,点P是BC上任一点,PE//AC,PF//AB,分别交AB、AC于E、F,试问线段PE、PF、AB之间有什么关系,并说明理由.
在四边形ABCD中,AB=DC,AD=BC.请再添加一个条件,使四边形ABCD是矩形.你添加的条件是_______________.(写出一种即可)
有下列四个命题,其中正确的个数为( )
①两条对角线互相平分的四边形是平行四边形②两条对角线相等的四边形是菱形③两条对角线互相垂直的四边形是正方形④两条对角线相等且互相垂直的四边形是正方形
A. 4 B. 3 C. 2 D. 1
若y关于x的函数y=(m-2)x+n是正比例函数,则m,n应满足的条件是( )
A. m≠2且n=0 B. m=2且n=0 C. m≠2 D. n=0
在四边形ABCD中(见图),线段BC长5,∠ABC为直角,∠BCD为135°,AC=AD,而且点A到边CD的垂线段AE的长为12,线段ED的长为5,求四边形ABCD的面积。
如图,AB是⊙O的直径,AF是⊙O切线,CD是垂直于AB的弦,垂足为E,过点C作DA的平行线与AF相交于点F,CD=,BE=2.
求证:(1)四边形FADC是菱形;
(2)FC是⊙O的切线.