题目内容
已知一次函数的图象与双曲线
交于两点的坐标分别为(
,
)、(
,-1);
(1)求该一次函数的解析式;
(2)描出函数草图,根据图象写出使一次函数的值大于反比例函数的值的x的取值范围.
(1)求该一次函数的解析式;
(2)描出函数草图,根据图象写出使一次函数的值大于反比例函数的值的x的取值范围.
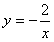
解:(1)∵坐标为(-1,m)和(n,-1)的两点在双曲线
上
∴
∴m=2,n=2
设一次函数的解析式为:
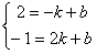
代入坐标(-1,2)和(2,-1)
得:
解之得:
∴一次函数的解析式为:
(2)画出函数草图

根据图象得:当
时, 一次函数的值大于反比例函数。
∴
∴m=2,n=2
设一次函数的解析式为:
代入坐标(-1,2)和(2,-1)
得:
解之得:
∴一次函数的解析式为:
(2)画出函数草图
根据图象得:当
练习册系列答案
相关题目
已知一次函数的图象与直线y=-x+1平行,且过点(8,2),那么此一次函数的解析式为( )
| A、y=-x-2 | B、y=-x-6 | C、y=-x+10 | D、y=-x-1 |