题目内容
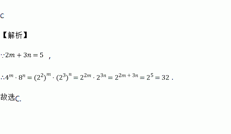
已知:,则
A. 16 B. 25 C. 32 D. 64
如图,l1∥l2,∠1=56°,则∠2的度数为( )
A. 34° B. 56° C. 124° D. 146°
刘徽是中国古代卓越的数学家之一,他在《九章算术》中提出了“割圆术”,即用内接或外切正多边形逐步逼近圆来近似计算圆的面积,设圆O的半径为1,若用圆O的外切正六边形的面积来近似估计圆O的面积,则S=_____.(结果保留根号)
计算:
(1).x(x-2y)-(x+y)2;
(2)..
如图,∠ACD是△ABC的外角.若∠ACD=125°,∠A=75°,则∠B=__________°.
若分式的值为0,则x的值为( )
A. 0 B. -1 C. 1 D. 2
如图所示,把矩形纸片ABCD沿EF折叠,使点B落在边AD上的点B′处,点A落在点A′处.
(1)求证B′E=BF;
(2)设AE=a,AB=b,BF=c,试猜想a,b,c之间的一种关系,并给出证明.
(2015秋•淮北期末)已知,AB是⊙O的一条弦,∠AOB=120°,则AB所对的圆周角为( )
A.60° B.90° C.120° D.60°或120°