题目内容
如图,在中,,,可以由绕点顺时针旋转得到(点与点是对应点,点与点是对应点),连接,则的度数是________.
如图,在一块菱形菜地ABCD中,对角线AC与BD相交于点O,若在菱形菜地内均匀地撒上种子,则种子落在阴影部分的概率是__________.
国庆放假时,小明一家三口一起乘小轿车去乡下探望爷爷、奶奶和外公、外婆.早上从家里出发,向东走了6千米到超市买东西,然后又向东走了2千米到爷爷家,中午从爷爷家出发向西走了12千米到外公家,晚上返回家里.
(1)若以家为原点,向东为正方向,用1个单位长度表示1千米,请将超市、爷爷家和外公家的位置在下面数轴上分别用点A、B、C表示出来;
(2)根据数轴回答超市A和外公家C相距 千米.
(3)若小轿车每千米耗油0.08升,求小明一家从出发到返回家所经历路程小车的耗油量.
若∣a∣+a=0,则a是( )
A. 零 B. 负数 C. 非负数 D. 负数或零
一辆汽车的背面,有一种特殊形状的刮雨器,忽略刮雨器的宽度可抽象为一条折线,如图所示,量得连杆长为,雨刮杆长为,.若启动一次刮雨器,雨刮杆正好扫到水平线的位置,如图所示.
求雨刮杆旋转的最大角度及、两点之间的距离;
求雨刮杆扫过的最大面积.
如图,将绕点A按逆时针方向旋转,得到,若点在线段BC的延长线上,则的大小为
A. B. C. D.
如图,边长为2的正方形ABCD的对角线相交于点O,过点O的直线分别交边AD、BC于E、F两点,则阴影部分的面积是( )
A. 1 B. 2 C. 3 D. 4
4的算术平方根是_______,9的平方根是_______,-8的立方根是_______.
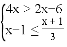
解不等式组: ,并写出它的所有整数解.