题目内容
已知关于x的方程3a﹣x=+3的解为2,则代数式a2﹣2a+1的值是________.
在同一坐标系中,一次函数与二次函数的图象可能是( ).
A. B. C. D.
在二次函数y=﹣x2+2x+1的图象中,若y随x的增大而增大,则x的取值范围是( )
A. x>1 B. x<1 C. x>﹣1 D. x<﹣1
若是二次函数,则m=________ .
用等式的性质解下列方程:3x+2=x+1.
在实数1、0、﹣1、﹣2中,最小的实数是( )
A. -2 B. -1 C. 1 D. 0
x=1是方程3x—m+1=0的解,则m的值是( )
A. -4 B. 4 C. 2 D. -2
如图,在边长为2的正方形ABCD中剪去一个边长为1的小正方形CEFG,动点P从点A出发,沿A→D→E→F→G→B的路线绕多边形的边匀速运动到点B时停止(不含点A和点B),则△ABP的面积S随着时间t变化的函数图象大致是( )
(1)计算:﹣14+sin60°+()﹣2﹣(π﹣)0.
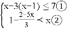
(2)解不等式组,并把它的解集在数轴上表示出来.