题目内容
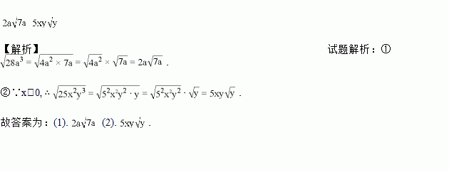
化简:①=_______;
(2) =________(x≥0,y≥0)
对于问题:从一批冰箱中抽取100台,调查冰箱的使用寿命.
该问题的总体是:________________________;个体是:_______________________;
样本是:_____________________;样本容量是:________.
为了增强环境保护意识,在6月5日“世界环境日”当天,在环保局工作人员指导下,若干名“环保小卫士”组成的“控制噪声污染”课题学习研究小组,抽样调查了全市40个噪声测量点在某时刻的噪声声级(单位:dB),将调查的数据进行处理(设所测数据是正整数),得频数分布表如下(不完整):
如果全市共有200个测量点,那么在这一时刻噪声声级小于75 dB的测量点约有______个
如图所示,进行“找宝”游戏,如果宝藏藏在(3,3)字母牌的下 面, 那么应该在字母______下寻找。
比较和的大小.
(易错题)等式成立的条件是( )
A. a≤-2或a≥2 B. a≥2 C. a≥-2 D. -2≤a≤2
若a>b,则a﹣3__b﹣3(填>或<)
若a>b,则下列式子正确的是( )
A. -4a>-4b B. a<b C. 4-a>4-b D. a-4>b-4
若点P在x轴的下方,y轴的左方,到x轴的距离是3,到y轴的距离是4,则点P的坐标为( )
A. (3,4) B. (-4,3)
C. (-3,-4) D. (-4,-3)