题目内容
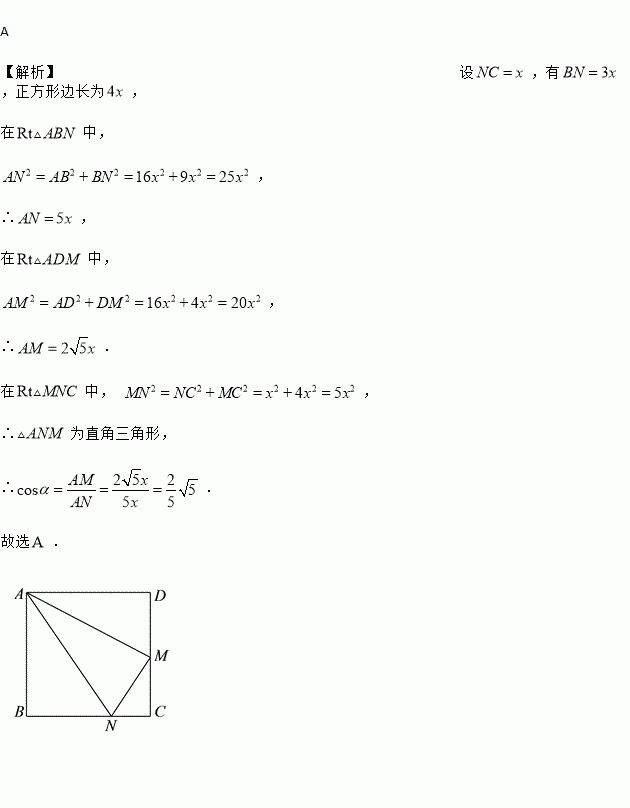
如图,正方形中, 为的中点, 为上一点, ,设,则的值等于( ).
A. B. C. D.
如图,a,b,c分别表示△ABC的三边长,则下面与△ABC一定全等的三角形是( )
解方程: ?1=
已知,抛物线( a≠0)经过原点,顶点为A(h,k)(h≠0).
(1)当h=1,k=2时,求抛物线的解析式;
(2)若抛物线(t≠0)也经过A点,求a与t之间的关系式;
(3)当点A在抛物线上,且-2≤h<1时,求a的取值范围.
如图, 内接于⊙, 于点, , , ,则⊙的直径是__________.
现有A、B两枚均匀的小立方体(立方体的每个面上分别标有数字1,2,3,4,5,6).用小莉掷A立方体朝上的数字为、小明掷B立方体朝上的数字为来确定点P(),那么它们各掷一次所确定的点P落在已知抛物线上的概率为( )
如图,以O为位似中心,将△ABC放大为原来的2倍.
如图已知扇形AOB的半径为6cm,圆心角的度数为120°,若将此扇形围成一个圆锥的侧面,则围成的圆锥的底面积为( )
10名初中毕业生的中考体育考试成绩如下:35 、36 、36 、36 、36、 37 、38、 39、 39、 40 ,这些成绩的中位数是( )
A.35 B. 36 C. 36.5 D. 40