题目内容
计算:
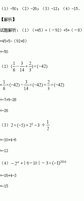
(1)(+45)+(-92)+5+(-8)
(2)
(3)÷
(4)+︱6-10︱-
已知整式的值为9,则的值为______________.
已知:如图∠BAC的角平分线与BC的垂直平分线DG交于点D,DE⊥AB,DF⊥AC,垂足分别为E,F.
⑴试说明:BE=CF;
⑵若AF=3,BC=4,求△ABC的周长.
等腰△ABC中,AB=AC,一边上的中线BD将这个三角形的周长分为15和12两个部分,则这个等腰三角形的底边长为( )
A. 7 B. 11 C. 7或11 D. 7或10
作图与推理:如图,是由一些大小相同的小正方体组合成的简单几何体.
(1)图中有______块小正方体;
(2)该几何体的主视图如图所示,请在下面方格纸中分别画出它的左视图和俯视图.
已知(x-2)2+|3y-2x|=0,则x=______, y=
若单项式﹣3b与b是同类项,则常数m的值为( )
A.﹣3 B.4 C.3 D.2
如图,△ABC中,AB=AC,∠BAC=54°,点D为AB中点,且OD⊥AB,∠BAC的平分线与AB的垂直平分线交于点O,将∠C沿EF(E在BC上,F在AC上)折叠,点C与点O恰好重合,则∠OEC为 度.
一位同学做一道题,已知两个多项式A,B,计算A+B,他误将A+B看作A-B,求得9x2-2x+7,若B=x2+3x-2,你能否帮助他求得正确答案?