搜索
题目内容
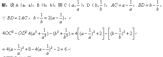
如图,点
为直线
上的两点,过
两点分别作y轴的平行线交双曲线
试题答案
相关练习册答案
6
解析
练习册系列答案
1加1阅读好卷系列答案
专项复习训练系列答案
初中语文教与学阅读系列答案
阅读快车系列答案
完形填空与阅读理解周秘计划系列答案
英语阅读理解150篇系列答案
奔腾英语系列答案
标准阅读系列答案
53English系列答案
考纲强化阅读系列答案
相关题目
如图,在水平桌面上的两个“E”,当点P
1
,P
2
,O在一条直线上时,在点O处用①号“E”测得的视力与用②号“E”测得的视力相同.
(1)图中b
1
,b
2
,l
1
,l
2
满足怎样的关系式;
(2)若b
1
=3.2cm,b
2
=2cm,①号“E”的测试距离l
1
=8m,要使测得的视力相同,则②号“E”的测试距离
l
2
应为多少?
如图,在平面直角坐标系中,M为x轴正半轴上的一点,⊙M与x轴交于A、B两点,与y轴交于C、D两点,若A(-1,0),C点的坐标为
(0,
3
)
.
(1)求M点的坐标;
(2)如图,P为
BC
上的一个动点,CQ平分∠PCD.当P点运动时,线段AQ的长度是否改变?若不变,请求其值;若改变,请求出其变化范围;
(3)如图,以A为圆心AC为半径作⊙A,P为⊙A上不同于C、D的一个动点,直线PC交⊙M于点Q,K为PQ的中点,当P点运动时,现给出两个结论:①
CK
PQ
的值不变;②线段OK的长度不变.其中有且只有一个结论正确,选择正确的结论证明并求其值.
如图,在水平桌面上的两个“E”,当点P
1
,P
2
,O在一条直线上时,在点O处用①号“E”(大“E”)测得的视力与用②号“E”(小“E”)测得的视力效果相同.
(1)△P
1
D
1
O与△P
2
D
2
O相似吗?
(2)图中b
1
,b
2
,l
1
,l
2
满足怎样的关系式?
(3)若b
1
=3.2cm,b
2
=2cm,①号“E”的测量距离l
1
=8m,要使得测得的视力相同,则②号“E”的测量距离l
2
应为多少?
25、如图,E为DF上的点,B为AC上的点,∠1=∠2,那么DF∥AC,说明理由(填在括号内)
解:∵∠1=∠2 (
已知
)
∠1=∠3,∠2=∠4 (
对顶角相等
)
∴∠3=∠4 (
等量代换
)
∴DB∥EC (
内错角相等,两条直线平行
)
∴∠C=∠5 (
两条直线平行,同位角相等
)
∵∠C=∠D (
已知
)
∴∠5=∠D (
等量代换
)
∴DF∥AC (
内错角相等,两条直线平行
)
如图,在水平桌面上的两个“E”,当点P
1
,P
2
,O在一条直线上时,在点O处用①号“E”(大“E”)测得的视力与用②号“E”(小“E”)测得的视力效果相同.
(1)△P
1
D
1
O与△P
2
D
2
O相似吗?
(2)图中b
1
,b
2
,l
1
,l
2
满足怎样的关系式?
(3)若b
1
=3.2cm,b
2
=2cm,①号“E”的测量距离l
1
=8m,要使得测得的视力相同,则②号“E”的测量距离l
2
应为多少?
关 闭
试题分类
高中
数学
英语
物理
化学
生物
地理
初中
数学
英语
物理
化学
生物
地理
小学
数学
英语
其他
阅读理解答案
已回答习题
未回答习题
题目汇总
试卷汇总
练习册解析答案