题目内容

如图,在△ABC中,∠C = 90°,∠A = 30°,BC = 2,将另外一个含 30°角的△EDF的30°角的顶点D 放在AB边上,E、F分别在AC、BC上,当点D在AB 边上移动时,DE始终与AB垂直。
(1)设AD= x ,CF= y,求y与x之间的函数解析式,并写出函数自变量的取值范围;
(2)如果△CEF与△DEF相似,求 AD的长。
(1)∵∠EDF=30°,ED⊥AB于D,
        ∴∠FDB=∠B=60°
        ∴△BDF是等边三角形.
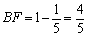
        ∵BC=1, ∴AB=2. 
       ∴2-x=1-y
       ∴y=x-1 
       自变量的取值范围是:
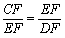
(2)①如图,∠FED=90°,△CEF∽△DEF, 
            ∴,即
            解得
          ∴
         ∴
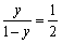
   ②如图2,∠EFD=90°,△CEF∽△FED, 
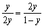
      ∴,即
         解得
        ∴
        ∴
练习册系列答案
相关题目

违法和不良信息举报电话:027-86699610 举报邮箱:58377363@163.com

精英家教网