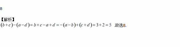
题目内容
已知a-b=-3,c+d=2,则(b+c)-(a-d)的值为( )
A. 1 B. 5 C. -5 D. -1
练习册系列答案
相关题目
某服装店以每件82元的价格购进了30套保暖内衣,销售时,针对不同的顾客,这30套保暖内衣的售价不完全相同,若以100元为标准,将超过的钱数记为正数,不足的钱数记为负数,则记录结果如表所示:
售出件数 | 7 | 6 | 7 | 8 | 2 |
售价(元) | +5 | +1 | 0 | -2 | -5 |
请你求出该服装店在售完这30套保暖内衣后,共赚了多少钱?