题目内容
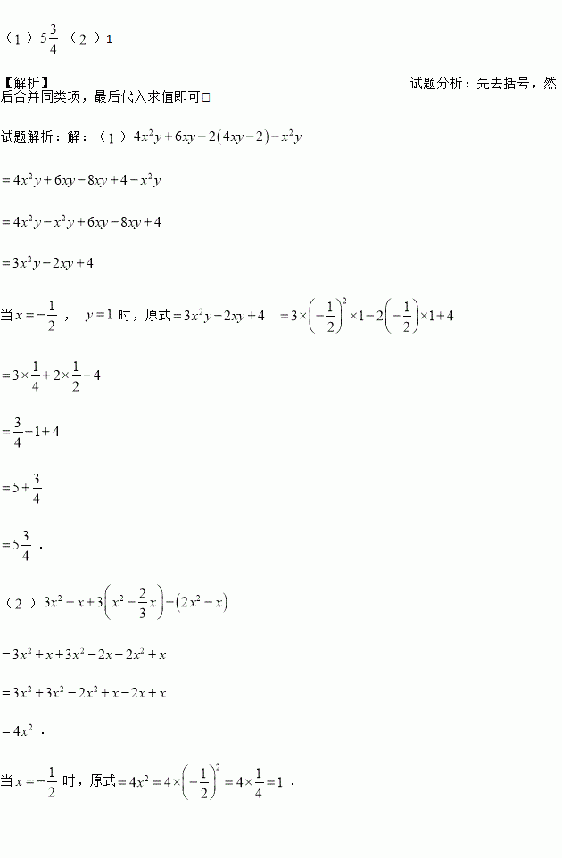
先化简,再求值:
(),其中, .
(),其中.
一个圆锥的体积是100cm3 , 求底面积S(cm2)与高h(cm)之间的函数关系式及自变量的取值范围.
一次函数y=x-3的图像不经过( )
A.第一象限 B.第二象限 C.第三象限 D.第四象限
写出一个系数是-1的三次单项式______________________.
下列计算中正确的是( )
A. a2+a2=a4 B. 4a-3a=1 C. 3a2+2a3=5a5 D. 3a2b-4ba2=-a2b
用“☆”定义一种新运算:对于任意有理数、,都有,则__________.
比较大小: _____,
某商场正在热销2008年奥运会吉祥物“福娃”玩具和徽章两种奥运商品,根据下图提供的信息,求一盒“福娃”玩具和一枚徽章的价格各是多少元?
已知一组数据2、0、7、-3、1这 组数据极差是 .