题目内容
如图,一个直角三角形两条直角边分别为3cm和4cm,以斜边AB所在直线为轴旋转一周得到一个几何体,在虚线框内画出这个几何体的草图,求这个几何体的表面积.
【答案】分析:几何体的表面积是由上下两个圆锥的侧面积组成的,它们的底面半径相同,都是直角三角形斜边上的高,求得两个圆锥的侧面面积后求和.
解答:
解:如图,作OC交AB于O,则OC为两个圆锥共同的底面的半径,
,
∵AB•OC=AC•BC
∴OC=
,
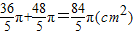
以AC为母线的圆锥侧面积=
,
以BC为母线的圆锥侧面积=
,
∴表面积为
.
点评:解决本题的关键是得到这个立体图形是由两个圆锥组成,以及相应的底面半径.
解答:
∵AB•OC=AC•BC
∴OC=
以AC为母线的圆锥侧面积=
以BC为母线的圆锥侧面积=
∴表面积为
点评:解决本题的关键是得到这个立体图形是由两个圆锥组成,以及相应的底面半径.
练习册系列答案
相关题目
| A、50° | B、45° | C、55° | D、70°第7题图 |