题目内容
先化简,再求值:
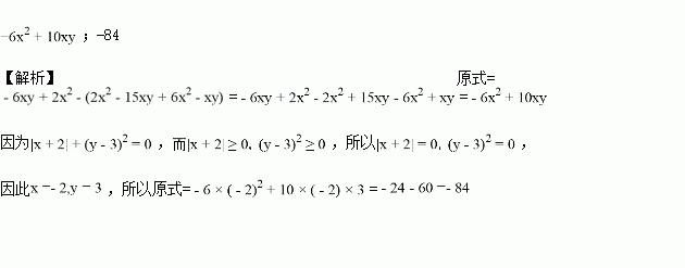
已知 2(-3xy+x2)-[2x2-3(5xy-2x2)-xy],其中x,y满足 |x+2|+(y-3)2=0
比较大小: _____ (用 “>”、“=” 或“ <” 填空).
如图,在6×8的网格纸中,每个小正方形的边长都为1,动点P、Q分别从点D、A同时出发向右移动,点P的运动速度为每秒2个单位,点Q的运动速度为每秒1个单位,当点P运动到点C时,两个点都停止运动.求运动时间t为多少秒时,△PQB成为以PQ为腰的等腰三角形?
如图,直线a∥b,点A在直线b上,以点A为圆心,适当长为半径画弧,分别交直线a、b于C、B两点,连接AC、BC,若∠ABC=54°,则∠1的大小为( )
A. 36° B. 54° C. 72° D. 63°
某公司在甲、乙两座仓库分别有农用车12辆和6辆,现需要调往A县10辆,调往B县8辆.已知从甲仓库调运一辆农用车到A县和B县的运费分别为40元和80元,从乙仓库调运一辆农用车到A县和B县的运费分别为30元和50元.设从甲仓库调往A县农用车x辆.
(1)甲仓库调往B县农用车 辆,乙仓库调往A县农用车 辆、乙仓库调往B县农用车 辆.(用含x的代数式表示)
(2)写出公司从甲、乙两座仓库调往农用车到A、B两县所需要的总运费.(用含x的代数式表示)
(3)在(2)的基础上,求当总运费是900元时,从甲仓库调往A县农用车多少辆?
已知a1=; a2=; a3=; a4=………那么a2016=_______
把立方体的六个面分别涂上六种不同颜色,并画上朵数不等的花,各面上的颜色与花的朵数情况列表如下:现将上述大小相同,颜色、花朵分布完全一样的四个立方体拼成一个水平放置的长方体,如图所示,那么长方体的的下底面共有( )朵花。
A.15 B.16 C.21 D.17
直线y=(2﹣a)x+3﹣a在直角坐标系中的图象如图所示,化简|3﹣a|+|2﹣a|=______.
如图,△ABC在平面直角坐标系的坐标分别为A(-1,5),B(-1,0),C(-4,3),按要求完成:
(1)在同一坐标系中,画出△ABC关于y轴对称的图形△A'B'C'
(2)六边形ACBB'C'A'的面积S=