题目内容
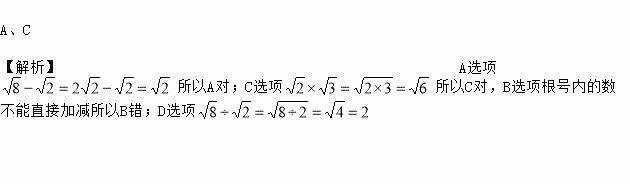
下列计算正确的是( )
A. B.
C. D.
计算
(1); (2)
如图,数轴上点A所表示的数是
A. B. -+1 C. +1 D. -1
使有意义的的取值范围是 .
满足下列条件的三角形中,不是直角三角形的是( )
A. 三内角之比为 B. 三边长的平方之比为
C. 三边长之比为 D. 三内角之比为
如图,在边长为1个单位长度的小正方形组成的网格中,给出了格点△ABC和△DEF(顶点为网格线的交点),以及过格点的直线l.
①将△ABC向右平移两个单位长度,再向下平移两个单位长度,画出平移后的三角形△A’B’C’;
②画出△DEF关于直线l对称的三角形△D’E’F’;
③填空:∠C+∠E= .
一个三角形的三边为2、5、x,另一个三角形的三边为y、2、6,若这两个三角形全等,则x+y= .
如图,小东在教学楼距地面9米高的窗口C处,测得正前方旗杆顶部A点的仰角为37°,旗杆底部B点的俯角为45°,升旗时,国旗上端悬挂在距地面2.25米处,若国旗随国歌声冉冉升起,并在国歌播放45秒结束时到达旗杆顶端,则国旗应以多少米/秒的速度匀速上升?(参考数据:sin37°≈0.60,cos37°≈0.80,tan37°≈0.75)
某校40名学生参加科普知识竞赛(竞赛分数都是整数),竞赛成绩的频数分布直方图如图所示,成绩的中位数落在( )
A. 50.5~60.5 分 B. 60.5~70.5 分 C. 70.5~80.5 分 D. 80.5~90.5 分