题目内容
如图:边长为
的大正方形中有一个边长为
的小正方形.![]()
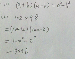
(1)、通过观察①、②两图的阴影部分面积,可以得到的乘法公式为
;(用式子表达)
(2)、运用你所得到的公式,计算: 102×98(不用公式计算不得分)
![]()
解析
练习册系列答案
相关题目
题目内容
如图:边长为
的大正方形中有一个边长为
的小正方形.![]()
(1)、通过观察①、②两图的阴影部分面积,可以得到的乘法公式为
;(用式子表达)
(2)、运用你所得到的公式,计算: 102×98(不用公式计算不得分)
![]()
解析