下列推理中,错误的是( )

A. ∵∠A=∠B=∠C,∴△ABC是等边三角形

B. ∵AB=AC,且∠B=∠C,∴△ABC是等边三角形

C. ∵∠A=60°,∠B=60°,∴△ABC是等边三角形

D. ∵AB=AC,∠B=60°,∴△ABC是等边三角形

B 【解析】A∵∠A=∠B=∠C,∴△ABC是等边三角形,故正确; B条件重复且条件不足,故不正确; C∵∠A=60°,∠B=60°,∴∠C=60°,∴△ABC是等边三角形60°,故正确; D根据有一个角是60°的等腰三角形是等边三角形可以得到,故正确. 故选B.

现有同一品牌工艺品100件,其中有2件次品,从中任取一件,(  )是次品.

A. 一定 B. 不大可能

C. 很可能 D. 不可能

B 【解析】由于次品在总数中所占的数目较少,所以抽取一次,抽到次品的可能性较小. 故选B.

分式有意义的条件是____________

x可以取全体实数 【解析】试题解析::因为恒大于0,所以x可以取全体实数. 故答案为:x可以取全体实数.

分式的值为零的条件是____________

【解析】试题解析::因为分式的值为0的时候,只能是分子为0,分母不能为0,所以可以得到, ;可以得到且 故答案为: .

已知分式有意义,则x的取值为( )

A. x≠-1 B. x≠3 C. x≠-1且x≠3 D. x≠-1或x≠3

C 【解析】试题解析:分式的分母不能为0,所以, ,解得x≠-1且x≠3. 故选C.

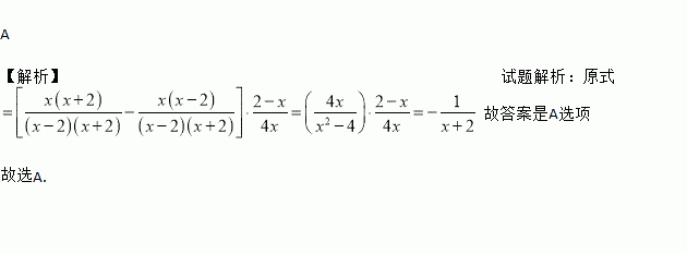
计算

【解析】试题分析:先找出最简公分母,然后把各分式通分,然后按照分母不变,分子相加减的方法进行计算,最后把分子合并同类项,最后结果化成最简. 试题解析: 【解析】 原式= = =.

分式的公分母是( )

A. B. C. D.

A 【解析】试题分析:x2-1=(x+1)(x-1), 所以分式与的公分母是(x+1)(x-1), 即x2-1. 故选A.

为进一步建设秀美、宜居的生态环境,某村欲购买甲、乙、丙三种树美化村庄,已知甲、乙丙三种树的价格之比为2:2:3,甲种树每棵200元,现计划用210000元资金,购买这三种树共1000棵.

(1)求乙、丙两种树每棵各多少元?

(2)若购买甲种树的棵树是乙种树的2倍,恰好用完计划资金,求这三种树各能购买多少棵?

(3)若又增加了10120元的购树款,在购买总棵树不变的前提下,求丙种树最多可以购买多少棵?

(1)200元,200元,(2)能购买甲种树600棵,乙种树300棵,丙种树100棵;(3)丙种树最多可以购买201棵. 【解析】 试题分析:(1)利用已知甲、乙丙三种树的价格之比为2:2:3,甲种树每棵200元,即可求出乙、丙两种树每棵钱数; (2)假设购买乙种树x棵,则购买甲种树2x棵,丙种树(1000-3x)棵,利用(1)中所求树木价格以及现计划用210000元资金购买这三...

违法和不良信息举报电话:027-86699610 举报邮箱:58377363@163.com

精英家教网