题目内容
如图,点E,F是平行四边形ABCD对角线BD上的点,且BF=DE.求证:AE=CF.
从﹣1,0,1,2,3这5个数中,随机抽取一个数记为a,使得二次函数y=2x2﹣4x﹣1当x>a时,y随x 的增大而增大,且使关于x的分式方程有整数解的概率为__.
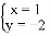
方程组的解为
A. B. C. D.
如图,在△ABC中,∠BAC=90°,AB⊥AC,AB=3,BC=5,EF垂直平分BC,点P为直线EF上的任一点,则AP+BP的最小值是_______.
一根单线从纽扣的4个孔中穿过(每个孔只穿过一次),其正面情形如图所示,下面4个图形中可能是其背面情形的是( )
A. (A) B. (B) C. (C) D. (D)
如图,在矩形ABCD中(AD>AB),点E是BC上一点,且DE=DA,AF⊥DE,垂足为点F,在下列结论中,不一定正确的是( )
A. △AFD≌△DCE B. AF= AD C. AB=AF D. BE=AD﹣DF
(题文)如图,四边形ABCD中,∠A=90°,AB=3,AD=3,点M,N分别为线段BC,AB上的动点(含端点,但点M不与点B重合),点E,F分别为DM,MN的中点,则EF长度的最大值为 .
如图,⊙O的半径OA=6,以A为圆心,OA为半径的弧交⊙O于B、C点,则BC=( )
A. 6 B. 6 C. 3 D. 3
已知:如图,Rt△ABC和Rt△ADC中,∠ABC=∠ADC=90°,点E是AC的中点.求证:∠EBD=∠EDB.